Come calcoliamo i ricambi d’aria di un ambiente chiuso? È questa una delle domande frequentemente posta a chi si occupa di atmosfere esplosive, ATEX.
Ed è in questo che noto, spesso, la grande differenza tra il modo di pensare “chimico/meccanico” rispetto a quello “elettrico”. Il Mindset (cfr. Maicol Pirozzi!) delle due specializzazioni è, infatti, radicalmente differente:
- l’ambiente elettrico vive sereno nel suo steady state, in un mondo in cui tutto è misurabile, cablabile e, soprattutto, controllabile;
- il chimico/meccanico, invece, è condannato a convivere con fenomeni continui e non lineari, condizioni al contorno che cambiano quando non dovrebbero, infiltrazioni che non esistono finché non esistono, e variabili che si accoppiano per il solo gusto di far saltare il modello.
Gli elettrici regolano i parametri, i chimico/meccanici negoziano con la realtà
Da questa divergenza nascono molti malintesi, soprattutto quando si parla di ventilazione naturale in ambienti industriali di grandi dimensioni. L’approccio normativo dato dell’IEC in questo specifico contesto, discuto della ventilazione in ambito industriale, lascia infatti un po’ perplesso il meccanico che vive in me.
Facciamo, ora, un breve riepilogo dell’approccio alla ventilazione degli ambienti sottoposti a rischio di esplosione e partiamo da quello che è ritenuto uno tra gli studi seminali che hanno creato un nuovo modo di concepire la disciplina. Mi riferisco allo splendido manuale di Harris del 1983.

In esso si dettagliano e definiscono le variabili guida, in forma moderna ed accessibile, del rischio di esplosione dovuto alla presenza di gas infiammabili in locali chiusi. Harris discute di locali tecnici, piccoli volumi confinati come, ad esempio:
- centrali termiche;
- sale pompe;
- sale compressori;
- piccoli edifici di processo;
- skid chiusi o semichiusi;
spazi, cioè, nei quali la nube potenziale e il volume disponibile sono dello stesso ordine di grandezza. In tali condizioni la ventilazione ha un comportamento quasi omogeneo in relazione all’ATEX, il cosiddetto “campo lontano”.
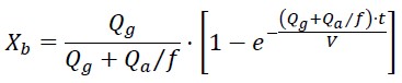
Attualizzando le tematiche di ventilazione proposte da Harris[1], e utilizzando la simbologia IEC 60079-10-1:2020, possiamo calcolare la concentrazione media di un gas infiammabile in un locale tecnico (Xb) in questo modo (cfr. Appendice B.1, BS 5925:1991):
Con:
Qg, portata di gas infiammabile [m3/s]
Qa, portata d’aria [m3/s]
f, fattore di inefficacia nella diluizione (da 1 a 5)
V, volume chiuso [m3]
t, tempo [s]
Il modello matematico è poi semplificato, dalla norma IEC 60079-10-1:2020, nell’ipotesi di stato stazionario (portata di infiammabile costante nel tempo, portata d’aria costante nel tempo, durata di emissione infinita):
Fin qui, come si dice, nessun problema. I modelli matematici sono, appunto, modelli e sono validi quando le assunzioni sono condivisibili.
Ed è proprio qui che, probabilmente, nasce il problema.
Più di uno, a dire il vero.
Lasciamo perdere, per ora, l’assunzione che una sorgente di emissione debba avere portata, Qg, costante (una pozza di infiammabile non evapora con rateo costante, la perdita da una piccola bombola di gas compresso non emette gas in modo costante), e tralasciamo che la determinazione del fattore di inefficacia f sia di assunzione estremamente granulare.
Concentriamoci sulla sola portata di ventilazione Qa: se escludiamo la ventilazione meccanica, la ventilazione naturale deriverà da tre principali cause:
- indotta dal vento;
- indotta dalla differenza di temperatura (cd. effetto camino);
- una combinazione tra vento e camino.
Possiamo, peraltro, suddividere la ventilazione in altre due principali categorie, perdonate l’animo linneiano:
- ventilazione progettata (es. superfici ventilanti opportunamente dimensionate, ventilazione artificiale, ecc);
- ventilazione non progettata, causata da infiltrazioni.
Quanto più il volume di un locale si amplia, tanto meno affidabili diventano le equazioni per il ricambio d’aria naturale, pensate per i locali tecnici (Cfr. Allegato C.5, IEC 60079-10-1:2020; Sezione 3, BS 5925:1991). Per converso, all’aumentare del volume considerato, diventa dominante ed affidabile il ricambio d’aria dovuto ad infiltrazione, come, del resto, la guida del CIBSE[2] inglese, alla tabella 4.20, evidenzia.

Quanto più il volume di un ambiente diventa grande, tanto più il contributo legato alla ventilazione per infiltrazione diventa rilevante e costante nel tempo.
E viceversa.
E quindi, mentre escludere la ventilazione per infiltrazione in normali ambienti tecnici appare una misura tecnica ragionevole, farlo nel caso di vasti ambienti industriali appare più dibattibile.
Nei grandi capannoni industriali la ventilazione per infiltrazione non è un rumore di fondo, ma l’intero segnale
Ricambio d’aria per infiltrazione che, peraltro, si può facilmente determinare con l’ausilio di metodi sperimentali come il gas traccia.
Altresì, la ventilazione, soprattutto in ambienti vasti, è un fenomeno fisico difficilmente schematizzabile con semplici equazioni. Infatti, a seconda della:
- tendenza alla stratificazione o meno del gas infiammabile;
- presenza di confinamento e congestione del volume;
- presenza di correnti d’aria connesse a corto circuiti aeraulici;
- molto altro;
si potranno formare planovolumetrie con ventilazioni differenti, anche in presenza di un unico locale/compartimento. A parità di ACH medio, ci potranno essere partizioni che ricambiano meglio l’aria rispetto ad altre.
Scritto in chiaro: non si dovrebbero considerare i capannoni industriali a volume unico alla stregua di recipienti a pressione stagni. Non considerare la ventilazione per infiltrazione, in casi come questi, può causare una serie di problematiche ora difficilmente prevedibili.
Concludo, giungendo al focus principale di questo post, relativo al progetto di norma prIEC 60079-10-1:2025. In esso (31J/396/CDV) è presente la seguente disposizione:
Infiltration shall not be taken into account when classifying hazardous areas” (Allegato C.5.2)
Quel “shall not be”, semplificando una tematica davvero complessa ed articolata e specialistica, rischia di causare rigidità rilevanti nell’ambito delle classificazioni ATEX. La presenza di una flangia di tenuta a bassa pressione, convogliante metano, all’interno di un capannone industriale di 1.500 m2 non a tenuta (leaky) rende irrealistico non considerare i circa 0,5 vol/h di infiltrazione naturale[3]. Ignorare tale contributo di ventilazione significherebbe, infatti, classificare come Zona 1 l’intero volume del capannone, anziché individuare una Zona 2 di campo vicino, limitata e prossimale alla flangia stessa.
A volte il meglio è nemico del bene
Chi è dentro alla “stanza dei bottoni”, faccia qualcosa.
Con urgenza.
Grazie
Marzio Marigo
– – –
[1] È bene ricordare che Harris concentra la propria analisi su locali tecnici di volume limitato; l’estensione del suo impianto teorico ai grandi ambienti industriali non è una citazione letterale, ma un’applicazione ragionata degli stessi principi fisici di base.
[2] CIBSE (2015) Guide A: Environmental Design. 8th edn. London: The Chartered Institution of Building Services Engineers
[3] Con disponibilità ADEGUATA

Commenti (10)
Roberto Bona - 29 Novembre 2025
Sempre fonte di produttiva riflessione…. Grazie Marzio!
Marzio Marigo - 29 Novembre 2025
Troppo gentile Roberto!
Ugo - 29 Novembre 2025
Grazie Marzio
queste cose le hai già scritte bene nel tuo libro sulle ATEX al punto 4.5.13 e questa ulteriore riflessione mi fa dormire tranquillo: l’autonomia (e soprattutto la responsabilità) del classificatore passa anche dal capire che la fisica se ne infischia bellamente delle nostre normative. Prendendo un esempio dagli elettrici: la legge di Ohm sta lassù in cima alla piramide delle fonti del diritto e dalle altre leggi umane, fregandosene di cosa scriviamo nelle nostre norme.
Insomma, mentre noi discutiamo di norme e regolamenti, gli elettroni (e le molecole d’aria e di gas, vapori e nebbie infiammabili) continuano a fare quello che vogliono seguendo le loro regole – che presuntuosi!
Marzio Marigo - 29 Novembre 2025
Buongiorno Ugo,
e grazie.
Il problema, come sempre, sta nelle assunzioni.
Se applico a un calabrone un’approssimazione delle leggi dell’aerodinamica pensate per un’ala fissa, il modello mi dirà che non può volare.
Ma se affino l’analisi, utilizzo Navier–Stokes e simulo in CFD, allora emerge che le leggi concordano perfettamente con la natura del moto del calabrone, e il suo volo risulta pienamente giustificato.
Usare l’accetta in un reparto di cardiochirurgia, forse, non è lo strumento più adatto.
Quello che ho cercato di evidenziare è, a mio parere, importante. Spero che chi legge il blog e partecipa ai lavori del CT (ce ne sono più d’uno) si faccia portatore del messaggio dentro la bottiglia.
Ugo - 30 Novembre 2025
Chi scrive le norme tecniche dimentica che ci sono i fenomeni fisici, che sono descritti attraverso a dei modelli, che vengono validati sperimentalmente.
Chi scrive la norma dice invece come va la realtà, ma non è così. Con un altro paragone, se un chirurgo segue il protocollo, l’operazione è da considerarsi perfettamente riuscita anche se il paziente è morto … ed è morto a norma di legge. Identica situazione è quella nostra che operiamo in base agli obblighi giuridici di legge che, se ottemperati, evitano le responsabilità e tra gli obblighi che abbiamo è quello di seguire la norma in quanto “strada maestra” per lo “stato dell’arte”.
Chi redige le norme deve acquisire consapevolezza di questi principi fondamentali e della propria responsabilità, per evitare di scaricare a valle problematiche pratiche che nascono proprio dalla distanza tra regolamentazione e realtà fisica.
Tu il tuo lavoro lo hai fatto… Attendiamo che il mare e le onde portino la bottiglia a destinazione.
grazie Marzio!
Andrea Baraldi - 30 Novembre 2025
Grazie Marzio! Stesso problema quando si hanno una o più postazioni di ricarica batterie per trazione in un ambiente vasto ove magari è presente un forno e quando si entra lì c è il vento…
Marzio Marigo - 5 Dicembre 2025
Buongiorno Andrea.
Il tema della ricarica batterie in luoghi chiusi è annoso.
Ma non irrisolvibile!
Ciao
Marzio
ursamaior - 5 Dicembre 2025
Ciao Marzio,
grazie per le tue riflessioni. Cerco di scroccartene un’altra.
C’è un buon motivo per cui non dovrei usare la relazione per il calcolo di Xb se volessi calcolare la concentrazione in un ambiente chiuso di un vapore/gas non ai fini delle ATEX (es. per stimare la concentrazione di un cancerogeno nell’ambiente)?
Marzio Marigo - 5 Dicembre 2025
Buongiorno Andrea
il modello per il calcolo della concentrazione media, che non è certo farina del mio sacco, è consolidato da parecchio tempo.
C’è da dire che l’LFL tipico di una sostanza infiammabile è dell’ordine dei 40 g/m3 mentre il TLV-TWA (o assimilato) è molto più basso. Nel caso dello xilene, per esempio, l’LFL è dell’1% (10.000 ppm) mentre il TLV-TWA (chimico) è 0,002% (20 ppm). Nel caso dei cancerogeni, la distanza tra i due riferimenti è pure maggiore; per il benzene l’OEL (cancerogeno) è 1 ppm mentre l’LFL è 12.000 ppm.
Non vorrei che l’utilizzo di questo modello, per quanto teoricamente giustificato, sia troppo, troppo grossolano. Il parametro da monitorare, cioè, nel caso di un cancerogeno o chimico, è molto piccolo rispetto all’infiammabilità. Calcolare l’esposizione utilizzando un modello di questo tipo è forse troppo semplificativo: un po’ come cercare di misurare la rugosità di una superficie rettificata con un metro dell’IKEA.
Ciao!
Marzio
Simone - 19 Dicembre 2025
Concordo su tutto, in particolare sull’incipit: la mentalità elettrotecnica ha delle ricadute troppo a favore di sicurezza nelle norme atex.
Si potrebbe fare il medesimo discorso per la ventilazione dei muletti in ricarica. Se la si compie in un capannone, diventa tutto zona pericolosa?